国际心血管领域高水平期刊Circulation Research于近日在线发表我校公共卫生学院营养学系论文“Serum Bioavailable and Free 25-Hydroxyvitamin D Levels, but Not Its Total Level, Are Associated With the Risk of Mortality in Patients With Coronary Artery Disease. Circulation Research. 2018;123:996–1007 ”,该文通讯作者为我校公共卫生学院凌文华教授,第1作者为其博士研究生余超、薛宏亮。该文引起主编的关注,并获得Circulation Research题为“Have We Been Measuring the Wrong Form of Vitamin D? Vitamin D as a Prognostic Biomarker for Coronary Artery Disease Mortality”的同刊评述。

Kaplan-Meier plots for all-cause mortality (A) and cardiovascular mortality (B) according to bioavailable 25-hydroxyvitamin D [25(OH)D] quartiles, and all-cause mortality (C) and cardiovascular mortality (D) according to free 25(OH)D quartiles among patients with coronary artery disease.

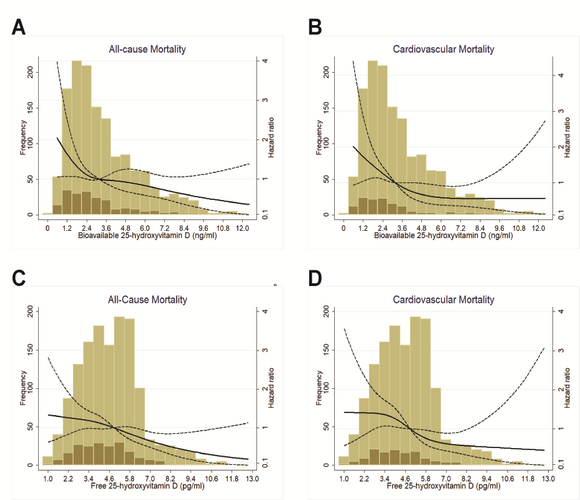
Multivariable-adjusted spline functions demonstrate the relation between bioavailable 25-hydroxyvitamin D and all-cause mortality (A) and cardiovascular mortality (B), and the relation between free 25-hydroxyvitamin D and all-cause mortality (C) and cardiovascular mortality (D). The histogram of the distribution of bioavailable or free 25-hydroxyvitamin D levels is also shown. Deaths were shown in dark brown column, and survivals were shown in light brown column.
维生素D是一种脂溶性维生素,也是一种固醇类激素前体,与健康密切相关。目前,全球大多数研究均以循环25-OH-D评价人体维生素D状态,以及其与慢病的关联,但结果并不一致。近来,多项随机对照研究(RCT)也发现,并非所有“维生素D缺乏”患者都可以从维生素D补充中获益,提示传统标志物并不能评价维生素D的生物可利用状态。凌文华教授团队通过对其课题组已建立的“广东冠心病队列”患者基线血清的多项维生素D标志物检测,经中位6.7年随访后发现,生物可利用维生素D(BioD)及游离维生素D(Free D)水平,而不是传统标志物25-OH-D,可独立预测冠心病患者的死亡风险。研究提示血清 BioD和FreeD水平对冠心病风险评估更有价值,25-OH-D是否为合适的反映维生素D状态的标志物值得进一步研究。研究为选择正确的血清维生素D标志物来预测冠心病患者的预后提供了重要的科学依据。
论文链接:https://www.ahajournals.org/doi/pdf/10.1161/CIRCRESAHA.118.313558
同刊评述链接:https://www.ahajournals.org/doi/pdf/10.1161/CIRCRESAHA.118.313814