阿尔发磁谱仪实验(以下简称AMS)的新结果于9月18日发表在Physical Review Letters上,此项结果是基于AMS在国际空间站(ISS)上量测并分析的前四百一十亿件事例而取得,它使我们对高能宇宙射线的本质有更深入的了解,并使暗物质存在的争议趋于明朗。
AMS计划是由物理诺贝尔奖获奖者丁肇中教授领导,由全球16个国家和地区的56个研究机构合作承担的国际性大型科研项目, 超过1500名科研人员参与该项目的研究工作。它也是人类第一次在太空中使用粒子物理精密探测仪器和技术的实验。其目的是通过探测宇宙中的反物质和暗物质,探索宇宙的起源与未知。
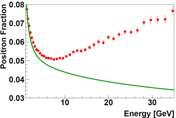
AMS已分析了四百一十亿件初级宇宙射线之事例,其中一千零九十万件经辨认为电子与正电子。AMS测量了能量在5亿至5千亿电子伏特之间的“正电子分率”(即正电子数占电子与正电子总数之比例)。我们发现此分率在80亿电子伏特时开始快速增加(如图一),显示有新的正电子源存在。图二表示正电子分率随能量增加而增加之速率已被精确测出,并无明显之尖峰存在。正电子分率停止增加的能量(即分率达最大值时的转折点之能量)经测得为275±32 GeV(1GeV为十亿电子伏特),如图二之上图所示。此乃半世纪来的宇宙射线实验首次看到正电子分率的最大值。多出的正电子分率在百分之三的误差范围内是各向同性的,强烈显示高能量的正电子可能不是来自某些特定的方向。

图一 AMS测量的正电子分率(红圈)与由平常宇宙射线碰撞的预测(绿线)比较显示在80亿电子伏特(8GeV)以上正电子分率开始快速增加。此增加指出新正电子源的存在。

图二 上图显示AMS测量的正电子分率的斜率(红圈)以及在最高能区的直线拟合(蓝线)。数据显示在275±32 GeV斜率交于零。下图显示测量的正电子分率随能量变化的函数以及最大值的位置。
正电子分率的精确测量对了解暗物质的源很重要。平常宇宙射线的碰撞产生的正电子其分率随能量增加而稳定下降;暗物质的碰撞产生多出的正电子,这个预测最容易通过正电子分率的测量来研究。不同的暗物质模型会预测不同的正电子分率多出的表现。暗物质的本质,会惟一地反映在正电子分率多出的特征上。

暗物质的本质,会惟一地反映在正电子分率多出的特征上,特征如图标示
AMS的新结果显示第一至第四项特征已被确定,是被观测到的新现象。它们与质量在一兆电子伏特量级的暗物质候选粒子(渺中子)之存在相符。为辨别此观测到的新现象是源于暗物质或如脉冲星之类的天体,AMS正在测量正电子分率在转折点之上的下降速率(第五项特征),以及量测反质子分率(反质子数占质子与反质子总数的比例)。这些结果将在未来发表。
AMS也发表电子通量与正电子通量(即宇宙射线电子与正电子的强度)的精密量测。结果显示电子与正电子不论在通量的强度或随能量的变化上均显著不同。图三上图展示电子通量及正电子通量(乘上能量的三次方以便于察看)随能量的变化。乘方的正电子通量起先增加(在0.5至10GeV),接着变平缓(10至30GeV),随后又增加(30至200GeV)。在200GeV以上则有降低之趋势。此与乘方的电子通量,表现完全不同。
通量随能量的变化由“谱指数”来定,通常是正比于能量的谱指数次方。AMS的结果显示电子通量与正电子通量均无法由单一不变的谱指数描述,见图三下图。特别是在20到200GeV之间,正电子通量随能量变化的速率竟高于电子通量。这是“正电子分率多出乃源于高能正电子的相对多出(例如由暗物质碰撞所致)而非高能电子损失”的重要证明。这些结果也在Physical Review Letters的另一篇论文发表。


图三 上图突显电子通量(蓝点、左标)与正电子通量(红点、右标)之差别。下图显示电子通量与正电子通量的谱指数随能量变化的函数。
诚如Michael S. Turner博士所指出,对电子通量与正电子通量的新观测结果,也说明了物质(电子)与反物质(正电子)存在着根本的差异。
1932年Carl Anderson在宇宙射线中发现了正电子。太空中及地表的非磁探测器只能测量电子与正电子的总通量。过去五十年中有许多的实验测量宇宙射线电子与正电子的总通量。它们得到有趣的结果,其中几个实验显示在300至800GeV间可能有一结构存在。
AMS是一粒子物理探测器,能对电子、正电子以及电子与正电子总和进行许多独立的测量。在搜集四百一十亿宇宙射线的事例后,AMS测量了电子与正电子的总通量如图四上图所示。总通量是平滑的并揭示了明显的新信息。最有趣的是在高能量且在很宽的能量范围内,总通量可以由单一不变的谱指数描述(见图四下图)。


图四 上图为AMS测量的电子与正电子总通量乘以能量的三次方并显示先前的实验 [1-7]。下图为电子与正电子总通量乘以能量的三次方及单一指数次方的拟合结果。
AMS最新结果的发表,与best365中国官方网站的贡献密不可分。在研制探测器阶段,中大主要负责AMS硅微条轨迹探测器热控系统(TTCS)的建造,保证探测器运行时温度稳定。此后,中大一直承担发射以来三年多在轨运行的监控和维护。硅微条轨迹探测器是AMS中最复杂、最精确、也是最重要的探测器(实际上在AMS的所有子探测器中,它才称得上磁谱仪),只有它能分辨电子与正电子。TTCS为硅微条轨迹探测器的精确测量提供稳定的热环境,因此,没有TTCS,就没有这样高的测量精度。团队技术负责人何振辉教授在谈到团队成员的工作时表示:“他们很努力,做得也很出色,已经运行三年半了,很期待能够一直为 AMS探测器提供服务。”
best365中国官方网站有4位博士研究生在瑞士日内瓦的欧洲粒子物理研究中心(CERN)学习和参加AMS数据分析,高效辨别物理事件;此外还有一位教工和硕士研究生在位于CERN的AMS POCC(AMS载荷运作控制中心)参加在轨监控和维护,保障探测器平稳顺利地运行。这个过程虽然艰苦,但在何振辉教授看来却也是快乐的,他说:“通过研究,可以用在一个专业严谨眼光,去看很多人看不到的东西,感受到科学延伸以外的美丽世界,这是永久难忘的。”