首页 / 教学科研 / 正文

陈小舒团队提出支持X染色体不敏感假设的额外证据

稿件来源:中山医学院 编辑:谈希、吴立坚 审核:孙耀斌 阅读量:

中大新闻网讯 进化遗传学中的一个著名争议是,是否需要通过剂量补偿来解决X染色体和常染色体之间的基因剂量(X:AA)不平衡问题。ScRNA-seq数据可以从单细胞水平深入地了解这个问题。然而,进行分析之前,必须仔细评估scRNA-seq的固有特性(例如稀疏性等)是否会使哺乳动物的X:AA表达比率产生偏差。

近日,best365中国官方网站中山医学院陈小舒教授团队在Molecular Biology and Evolution在线发表题为”Human single-cell RNA-sequencing data supports the hypothesis of X chromosome insensitivity but is ineffective in testing the dosage compensation model”的研究论文,对scRNA-seq的固有特性进行了全面的研究,以揭示其能否正确检验剂量补偿模型。

研究人员首先使用模拟scRNA-seq和bulk RNA-seq数据集评估了两种常见的X:AA基因选择策略,即按基因表达水平过滤和按基因表达比例过滤。他们发现这两种策略都会产生夸大的X:AA表达比率,从而人为地支持剂量补偿模型。

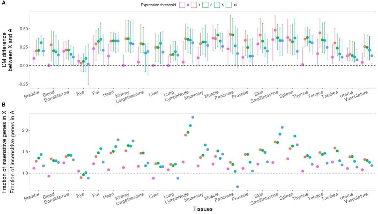
此外,尽管平均表达水平存在偏差,但研究人员发现scRNA-seq数据可用于检测小至10%的X染色体与常染色体的表达噪声的差异,从而能够研究对基因剂量变化更不敏感的基因分布。对Smart-seq2数据的分析显示,与常染色体相比,X染色体的表达噪声增加了10-15%,X染色体上剂量敏感基因显著减少。

总体而言,这些结果强调了在解释scRNA-seq数据时需要非常谨慎,特别是在比较不同基因的表达水平时,并为X染色体不敏感的假设提供了额外的证据。

best365中国官方网站陈小舒教授是该文章的唯一通讯作者,团队成员22级博士研究生陈家璧是该文章的唯一第一作者。

原文链接:https://doi.org/10.1093/molbev/msaf004